在消費電子、小家電和物聯網設備日益普及的背景下,市場對低成本、高集成度、低功耗的小功率電源解決方案需求愈發迫切。必易推出的KP3111系列離線式PWM功率開關芯片,正是為滿足這一需求而設計的高性能電源管理器件。深圳三佛科技將圍繞KP3111SPA、KP3111LPA、KP3111LGA三款型號,深入解析其功能特性、典型應用電路、封裝信息及電氣參數,助力工程師快速選型與應用。
是一款非隔離型離線式PWM功率開關,集成了500V高壓MOSFET和高壓啟動電路,支持降壓型(Buck)與升降壓型(Buck-Boost)拓撲結構,默認輸出為高精度5V,最大輸出電流可達220mA(視封裝與散熱條件而定)。

其典型優勢包括:
| 型號 | 封裝類型 | 包裝方式 | 輸出電流能力 | 特點描述 |
|---|---|---|---|---|
| KP3111SPA | SOP-8 | 編帶盤裝,4000顆/卷 | 220mA | 適合中等功率密度設計 |
| KP3111LPA | TO-92 | 編帶盤裝,2000顆/盒 | 220mA | 插件封裝,適合傳統PCB |
| KP3111LGA | SOT23-3L | 編帶盤裝,3000顆/卷 | 200mA | 超小封裝,適合空間受限應用 |
KP3111支持降壓型與升降壓型兩種拓撲,以下為典型降壓型應用電路:

適用于:
| 管腳編號 | 名稱 | 類型 | 功能描述 |
|---|---|---|---|
| 1 | VDD | P | 芯片供電輸入 |
| 4 | CS | P | 電流檢測與參考地 |
| 8 | Drain | P | 內部高壓MOSFET漏極 |
| 其余 | NC | - | 懸空處理 |
| 管腳編號 | 名稱 | 功能描述 |
|---|---|---|
| 1 | Drain | MOSFET漏極 |
| 2 | CS | 電流檢測與地 |
| 3 | VDD | 芯片供電 |
| 管腳編號 | 名稱 | 功能描述 |
|---|---|---|
| 1 | Drain | MOSFET漏極 |
| 2 | VDD | 芯片供電 |
| 3 | CS | 電流檢測與地 |

| 參數 | 典型值 | 單位 |
|---|---|---|
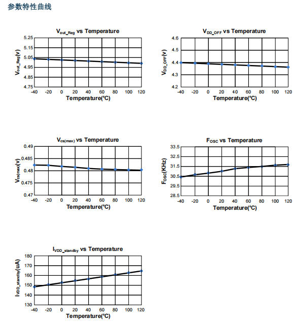
| VDD啟動電壓 | 4.87 | V |
| VDD欠壓保護 | 4.38 | V |
| 靜態電流(VDD=6V) | 150 | μA |
| 參數 | 典型值 | 單位 |
|---|---|---|
| 輸出電壓(默認) | 5.0 | V |
| 輸出電壓精度 | ±1.5% | - |
| 最大輸出電流 | 220 | mA |
| 參數 | 典型值 | 單位 |
|---|---|---|
| 開關頻率 | 31 | kHz |
| 抖頻范圍 | ±5 | % |
| 過熱保護閾值 | 155 | ℃ |
| 過流保護閾值(CS) | 480 | mV |

| 封裝類型 | 熱阻(結到環境) | 說明 |
|---|---|---|
| SOP-8 | 165 ℃/W | 適合中等功率密度設計 |
| TO-92 | 120 ℃/W | 插件封裝,散熱較好 |
| SOT23-3L | 260 ℃/W | 小封裝,需注意散熱設計 |
建議:SOT23-3L封裝在滿載200mA輸出時,建議PCB預留銅箔散熱區域,避免芯片過熱觸發OTP保護。
| 維度 | 評價 |
|---|---|
| 成本 | 高集成度,外圍器件極少,BOM成本極低 |
| 性能 | 5V輸出精度高,待機功耗<50mW,滿足能效標準 |
| 可靠性 | 多重保護機制,適應電網波動與負載突變 |
| 封裝靈活性 | 三種封裝可選,適配不同空間與工藝需求 |
| 應用廣泛性 | 適用于小家電、IoT模塊、輔助電源等多種場景 |

KP3111SPA、KP3111LPA、KP3111LGA三款芯片,憑借其高集成度、低功耗、強保護、易設計的特點,已成為小功率5V電源設計中的“隱形冠軍”。對于追求成本優化、空間緊湊、快速量產的電源方案開發者而言,KP3111系列無疑是值得信賴的選擇。